关于同步带和同步带轮问答

我们已将客户提出的“常见问题”以问答形式发布。请点击问题查看答案。

同步带

Q&A 中的词语

Q1 为什么安装正同步带时需要施加张力?
Q2 如何施加安装张力?
Q3 如何检查安装张力?
Q4 安装张力应该在哪里测量?
Q5 最小安装张力是多少?
Q6 同步带轮对准是否必要?
Q7 什么是同步带拉伸?
Q8 同步带何时达到使用寿命终点?
Q9 在同步带断裂之前,你能判断它何时会走到使用寿命的尽头吗?
Q10 同步带能用多久?
Q11 咬合齿数需要6颗以上的理由是?
Q12 传动功率表中的彩色部分分别代表什么意思?
Q13 使用伺服电机时的注意点是什么?
Q14 可以制作目录上记载的标准宽度以外的东西吗?
Q15 最小生产宽度是多少?
Q16 可以制作目录上没有记载的皮带长度的产品吗?
Q17 “超级PX同步带”对所有类型的油都有效吗?
Q18 它可以用于油周围和水周围的环境吗?
Q19 同步带可在什么环境温度下使用?
Q20 是否与其他公司的产品兼容?
Q21 使用前需要注意什么?
Q22 安装同步带到同步带轮上时,我应该注意什么?
Q23 使用同步带时应该注意什么?
Q24 存放同步带时应该采取哪些预防措施?
Q25 噪音是什么?
Q26 噪音对策呢?
Q27 是否符合RoHS指令?
Q28 同步带的传动效率是多少?
Q29 同步带过早断裂
Q30 磨损的同步带齿
Q31 同步带跳齿
Q32 同步带齿剪切失效
Q33 同步带侧面磨损
Q34 同步带齿面上的垂直划痕
Q35 同步带部分断裂
Q36 同步带膨胀
Q37 同步带明显拉伸
Q38 同步带背面的橡胶出现粘性或软化现象
Q39 同步带后橡胶磨损
Q40 同步带后面的橡胶出现裂纹
Q41 同步带轮齿轮磨损

张力计

Q42 可测量范围是多少?
Q43 我想在购买前使用它,但我可以借它吗?
Q44 你能帮我校对吗?
Q45 校正时间是多少?

皮带夹具

Q46 材质是什么?
Q47 是否可以生产目录以外的定制产品?
回答
Q1 为什么安装正同步带时需要施加张力?
A1

在同步带传动中,力作用的节圆中心线位于同步带轮齿齿顶的外侧,因此可以通过施加适当的张力来实现传动。

对于正常的电力传输应用,建议您根据产品目录中列出的推荐值来设置安装张力。

此外,对于重视定位精度的用途,请在不超过目录记载的最大值的范围内提高设置。

如果由于负载条件或设备条件,将安装张力设置得低于推荐值,请检查这是否会增加振动或噪音,或导致传动问题,例如跳齿。

如果安装张力过高或过低,都可能导致同步带过早失效。

返回到问题
Q2 如何施加安装张力?
A2

最好移动其中一个轴进行调整,但也可以提供调整用的惰轮。

一般而言,惰轮应该安装在同步带的松弛侧,以便在调整后进行固定。

返回到问题
Q3 如何检查安装张力?
A3
  1. ① 同步带张紧测试器T-ACE 的利用

    使用利用传动带固有频率测量的音波式传动带张力计“同步带张紧测试器T-ACE ”,可简单准确地进行确认。

  2. ②您可以通过按压同步带并观察其挠度来检查。
    1. 包括托轮轴在内,准确计算出所有轴的平行度及滑轮的对齐。
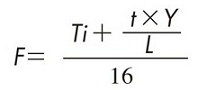
    2. 对同步带跨距的中心施加推力(F)。
    3. 施加张力,使同步带挠度(δ)为每 100 mm跨距 1.6 mm。
安装张力
单击放大
  • 安装张力
    安装张力
    F:跨中点挠度 (δ) 所需的推力N{kgf} t
  • Ti:安装张力N{kgf}
  • Y:修正系数
  • δ:挠度mm=0.016t
  • t:跨度长度mm
  • C:轴间距离mm
  • Dp:大节距圆直径(mm)
  • dp:小节距圆直径(mm)
  • L:皮带长度mm
返回到问题
Q4 安装张力应该在哪里测量?
A4

对于两根轴(两个同步带轮),在跨距中心处测量。

如果存在多个轴(三个或更多同步带轮/惰轮),请在跨度最长的点进行测量。这样可以获得更稳定的测量结果。

返回到问题
Q5 最小安装张力是多少?
A5

可以通过降低安装张力来避免跳齿现象。跳齿现象的发生与否取决于运行条件,因此请根据实际机器情况进行确认。

返回到问题
Q6 同步带轮对准是否必要?
A6

即使同步带同步带轮正确对齐,正时皮带也不会在同步带轮的中心运行,而是会向一侧倾斜。

虽然这种力很小,但如果同步带轮没有正确对准,它可能会靠近同步带轮的边缘,并被用力压在导向法兰上,从而可能损坏或割伤导向法兰。

此外,导向法兰可能会脱落。

将同步带轮对准调整到下表所示的公差范围内。

皮带尺寸 所有品种
皮带宽度mm 30以下 30~50 50~100 100或更高版本
容许平行度 5/1000以下 4/1000以下 3/1000以下 2/1000以下
θ分 17以下 13以下 10以下 6以下

プーリ調整方法
单击放大

■滑轮调整方法

如图所示,通过将直边放置在基准带轮上,并使其他带轮与整个直边接触 (ε=0),可以将带轮排列在正确的位置。

此外,通过将图中的δ限制在极限以下,可以同时显示轴的平行度。

プーリ調整方法
单击放大

返回到问题
Q7 什么是同步带拉伸?
A7

同步带可能会出现两种类型的拉伸。

  1. ① 弹性拉伸 (负荷拉伸)

    这是同步带在承受负载时发生的可逆拉伸现象。当负载移除后,它会恢复到原来的形状。

  2. ② 永久伸缩 (运行伸缩)

    即使同步带上的负载移除后,这种拉伸也不会恢复到原来的状态。这主要是由初始磨合和磨损造成的。

返回到问题
Q8 同步带何时达到使用寿命终点?
A8

如果同步带选择不当,齿布会磨损,最终皮带齿会脱落。

此外,如果同步带轮的直径较小,或者多轴布局中有很多弯曲,则芯线可能会因弯曲而疲劳断裂。

如上图所示,当正时皮带失去与同步带轮精确啮合并传递动力的能力时,同步带使用寿命就结束了。

定期检查同步带,如果发现外部有划痕或齿布磨损等异常情况,应在皮带齿脱落或同步带断裂之前更换。

返回到问题
Q9 在同步带断裂之前,你能判断它何时会走到使用寿命的尽头吗?
A9

寿命可能表现为振动或噪音,但有些是微妙的,很难提前察觉。

定期检查同步带,如果发现任何划痕或其他异常或齿布磨损,请在皮带齿脱落或断裂之前更换皮带。

椿本超级PX同步带的齿布磨损可通过露出橡胶来确认,因此便于判断是否更换。

使用前

使用前

使用后

使用后
返回到问题
Q10 同步带能用多久?
A10

同步带并非金属材质,因此没有疲劳极限。在使用过程中,会产生疲劳和磨损,最终导致断裂。

此外,由于耐久时间根据所使用的条件和布局而变化很大,因此很难确定达到预期寿命的时间。

本公司考虑到材料的经年变化,建议最多5年更换一次。

返回到问题
Q11 咬合齿数需要6颗以上的理由是?
A11

与金属链条或齿轮不同,同步带齿是由尼龙织物包裹的橡胶制成,因此不适合仅靠一个齿来传递动力;需要多个齿来承受负载。如果与同步带轮啮合的齿少于六个,则每个齿承受的负载会很大,并可能导致齿崩。

如果啮合齿数为 5 或 4,请在选择时加上目录中列出的“啮合修正系数”。

驱动滑轮的话,请考虑咬合齿数为6齿以上,咬合角度为120度以上。

返回到问题
Q12 产品目录中传动功率表中的彩色部分分别代表什么意思?
A12

这种组合需要小直径皮带轮高速旋转,这会加速同步带内芯线的弯曲疲劳,缩短其使用寿命,因此请避免使用。

返回到问题
Q13 使用伺服电机时的注意点是什么?
A13

如果同步带圆周速度过高,可能会出现以下情况:

  1. ①同步带中产生的离心张力可能会降低动力传输能力。
  2. ② 有寿命缩短的情况。
  3. 3)如果同步带轮转速超过 33 米/秒,可能会出现跳动和振动,因此一定要保持平衡。

在选择同步带时,我们建议您根据伺服电机的特性考虑扭矩。

返回到问题
Q14 可以制作目录上记载的标准宽度以外的东西吗?
A14

也有可以制作的皮带宽度,请向本公司咨询窗口或销售店铺咨询。

返回到问题
Q15 最小生产宽度是多少?
A15

指导原则是同步带总高度的 1.5 倍,但具体数值因型号而异,请联系我们的客户服务中心或经销商。

返回到问题
Q16 可以制作目录上没有记载的皮带长度的产品吗?
A16

由于无尽同步带是使用模具制造的,因此我们无法生产目录中未列出的皮带长度。

返回到问题
Q17 “超级PX同步带”对所有类型的油都有效吗?
A17

“超级PX同步带”的耐油性能是根据我公司使用通用润滑油和切削油进行的各种测试结果得出的,因此我们不保证其对所有类型的油或使用条件都具有耐油性。

关于个别油种和使用条件的适用与否,请在实际机器上确认或向本公司咨询。

返回到问题
Q18 它可以用于油周围和水周围的环境吗?
A18

通常情况下,如果同步带沾上油或水,会膨胀并与同步带轮失去啮合,导致传动能力下降和过早损坏。尤其需要注意的是,正时皮带绝对不能在油或水中使用。

我们提供一系列“超级PX同步带耐油规格”和“ PX同步带耐水规格”,在有油或水雾的环境中具有增强的耐用性。

返回到问题
Q19 同步带可在什么环境温度下使用?
A19

请在-15℃至80℃的正常环境温度下使用。某些同步带在特定条件下可在高达90℃的温度下使用。

详情请咨询本公司咨询窗口。

返回到问题
Q20 是否与其他公司的产品兼容?
A20

“PX齿形”是我们独有的齿形,与其他公司的齿形不兼容,因此请与椿本同步带轮配合使用。

返回到问题
Q21 使用前需要注意什么?
A21

重要注意事项列于“同步带传动装置”产品目录中。使用前请务必阅读“使用说明书”。

返回到问题
Q22 安装同步带到同步带轮上时,我应该注意什么?
A22

即使受到外力作用,同步带也不会伸长。

安装到同步带轮上时,安装前先移动皮带轮轴和惰轮轴。

强行将同步带轮在导向法兰上可能会导致事故,所以请避免这样做。

对于不使用惰轮的2轴传动,请设置轴间距离调整槽。

■调整两轴传动的轴距

单位:mm
皮带长度 种类
P2M・P3M・P5M
UP3M・UP5M
P8M・P14M
UP8M・UP14M
△Co 500以下 3 3
500~1000 5 5
1001~2000 10 10
2000或更高版本 15 15
△Ci 通用 10 15
调整两轴传动的轴距
单击放大
返回到问题
Q23 使用同步带时应该注意什么?
A23

请在干净的氛围中使用。

如果皮带要在多尘环境中使用,并且可能接触到大量的水、油或溶剂,请用罩子保护同步带和皮带轮。在空气湿度或油含量较高的环境中,请考虑使用“超级PX同步带耐油规格”;在湿度较高的环境中,请考虑使用“ PX同步带防水规格”。

返回到问题
Q24 存放同步带时应该采取哪些预防措施?
A24
  1. ① 请保存在-10°C~40°C的干燥室内。另外,请避免阳光直射。
  2. ②切勿将同步带弯曲至过小直径。弯曲至过小直径会导致内部芯线断裂,严重影响其性能。最大弯曲直径为节距的四倍。
曲げ限度の直径はピッチの4倍です。
返回到问题
Q25 噪音是什么?
A25

通常包括:。

  1. ①同步带齿底的底部撞击同步带轮齿顶
  2. ②同步带弦振动噪音
  3. 3)同步带齿与同步带轮齿摩擦啮合产生的摩擦噪声。
  4. 4)同步带侧面与同步带轮导向法兰摩擦时产生的摩擦噪声
  5. ⑤ 当同步带和同步带轮啮合时,空气从同步带轮齿槽排出时会产生排气声。
返回到问题
Q26 噪音对策呢?
A26
  1. (1)通过改变安装张力、皮带轮转速、皮带长度、皮带宽度、皮带轮齿数等,可以改变同步带的固有频率。
  2. ② 更换为高强度同步带,并缩小皮带宽度。
  3. ③ 缩小皮带宽度,改为多排悬挂。
  4. ④ 调整同步带轮的对准情况,防止同步带与导向法兰接触。
返回到问题
Q27 是否符合RoHS指令?
A27

符合RoHS指令。

返回到问题
Q28 同步带的传动效率是多少?
A28

最多是98%左右。

返回到问题
Q29 同步带过早断裂
A29
外観の特長

[外观特性]

与皮带齿平行切断。心线也短且对齐切断。

[推测原因]

  1. ① 由于在保存和组装时过度弯曲,芯线断裂。
  2. ② 皮带轮直径太小导致芯线断裂。

[对策]

  1. ① 请注意保管和组装时的处理,避免过度折叠。请勿折弯为螺距的4倍以下的直径。
  2. ② 检查同步带轮和惰轮的直径是否合适。如果太小,请更换为合适的直径。同步带轮直径请参考传动功率表,惰轮直径请参考下表。
曲げ限度の直径はピッチの4倍です。
  • 内惰轮:齿数至少为下表所示最小齿数的同步带轮。
  • 外惰轮:一个没有轮冠的扁平滑轮,其直径至少 是下表中滑轮节距圆直径的 1.2 倍。

■选定惰轮时的最小带轮齿数

种类 转速(r/min
900以下 超过900
1200以下
超过1200
1800以下
超过1800
3600以下
P2M 16 16 18 20
P3M・UP3M 14 14 16 18
P5M・UP5M 18 20 24 28
P8M・UP8M 24 26 26 28
P14M・UP14M 28 28 28 34

注:对于超过 3600 r/min速度,请参考标准变速器容量表。

内惰轮

内惰轮

外惰轮

外惰轮

返回到问题
Q30 磨损的同步带齿
A30
外観の特長 外観の特長

[外观特性]

  • 牙布起毛、发白变色、布纹模糊等。
  • 牙垫磨损,橡胶外露。
  • 皮带牙瘦了。
  • 齿底齿布磨损,芯线外露。

[推测原因]

  1. ① 出现过载 (过载) 。
  2. ②安装张力过大。
  3. 3)安装张力不足。
  4. ④同步带容量不足。
  5. ⑤同步带轮的齿形或齿尺寸不正确。
  6. ⑥ 在粉尘环境中使用。

[对策]

  1. (1)检查原动机的规格、被驱动机械的惯性以及使用条件,消除过载原因,或者增大同步带和皮带轮的尺寸。
  2. ②调整安装张力至适当水平。
  3. 3)将安装张力调整到合适的水平。
  4. 4)检查运行条件,选择最佳尺寸的同步带和皮带轮。
  5. 5)更换同步带轮,使其具有正确的齿形和尺寸。
  6. ⑥ 改善空气环境或安装罩子,防止灰尘粘附在同步带和皮带轮上。
返回到问题
Q31 同步带跳齿
A31

[推测原因]

  1. ① 出现过载 (休克负载) 。
  2. ②安装张力不足。
  3. 3) 与同步带轮啮合的齿数不足。
  4. ④ 支架刚性不足。

[对策]

  1. 1)消除冲击载荷的原因,或者安装减震机构,或者增大同步带的尺寸。
  2. ②调整安装张力至适当水平。
  3. 3)增加同步带轮的齿数,或者安装惰轮来增加啮合齿数。
  4. ④ 请提高支架的刚性。
返回到问题
Q32 同步带齿剪切失效
A32

[外观特性]

  • 皮带牙齿根开裂。
  • 皮带牙掉了。

[推测原因]

疑似原因与“Q30同步带齿磨损”和“Q31同步带皮带跳齿”的原因相同。这些情况持续下去会导致剪切断裂。

[对策]

请参考“Q30同步带齿磨损”和“Q31同步带皮带跳齿”的对策,因为它们是相同的。

返回到问题
Q33 同步带侧面磨损
A33
外観の特長

[外观特性]

  • 侧面的角掉了,变圆了。
  • 侧面的橡胶像被剥落一样。
  • 心线绽开露出。

[推测原因]

  1. ① 轴的平行度不良。
  2. ②同步带轮错位。
  3. ③ 支架刚性不足。
  4. ④同步带轮导向法兰变形。

[对策]

  1. ① 请正确调整轴的平行度。
  2. ② 将同步带轮调整到正确位置。
    皮带尺寸 所有品种
    皮带宽度mm 30以下 30~50 50~100 100或更高版本
    容许平行度 5/1000以下 4/1000以下 3/1000以下 2/1000以下
    θ分 17以下 13以下 10以下 6以下

    プーリ調整方法
    单击放大

    ■滑轮调整方法

    如图所示,通过将直边放置在基准带轮上,并使其他带轮与整个直边接触 (ε=0),可以将带轮排列在正确的位置。

    此外,通过将图中的δ限制在极限以下,可以同时显示轴的平行度。

    プーリ調整方法
    单击放大

  3. ③ 请提高支架的刚性。
  4. ④ 请换成新的。
返回到问题
Q34 同步带齿面上的垂直划痕
A34
外観の特長

[外观特性]

  • 与皮带齿垂直方向有划痕。

[推测原因]

  1. 1)越过同步带轮边缘。
  2. ②同步带轮向上滑到导向法兰上。

[对策]

  1. ① 轴平行度或同步带轮位置不正确,请将其调整到正确位置。
  2. ②如果轴平行度或同步带轮位置不正确,则将其调整到正确位置。

    检查安装张力,如果张力不足,则调整至合适的安装张力。

返回到问题
Q35 同步带部分断裂
A35
外観の特長

[外观特性]

  • 部分断开。
  • 切割处以外的牙齿表面可能有划痕。

[推测原因]

  1. 1)同步带轮向上滑到导向法兰上。
  2. ② 异物咬入。

[对策]

  1. 1)如果轴平行度或同步带轮位置不正确,请将其调整到正确位置。

    检查安装张力,如果张力不足,则调整至合适的安装张力。

  2. ②改善环境或安装罩子,防止异物粘附在同步带和皮带轮上。
返回到问题
Q36 同步带膨胀
A36
外観の特長

[外观特性]

  • 橡胶肿了。

[推测原因]

  • 橡胶吸收了附着在同步带上的油和水分。

[对策]

  • 为防止油和湿气粘附在同步带上,改善环境或安装盖子。
  • 或许可以用“超级PX同步带耐油规格”来替代,请考虑一下。
返回到问题
Q37 同步带明显拉伸
A37

[推测原因]

通过移动轴使轴彼此接近。

[对策]

请牢固地固定轴。

返回到问题
Q38 同步带背面的橡胶出现粘性或软化现象
A38
外観の特長

[外观特性]

  • 同步带背面有一层软化的橡胶。
  • 同步带橡胶发粘或变软。

[推测原因]

  1. ①油粘附在同步带上,并被橡胶吸收。
  2. ② 在高温环境下使用。
  3. ③ 外侧惰轮旋转不良

[对策]

  1. ① 改善环境或安装盖子,防止油粘附在同步带上。

    或许可以用“超级PX同步带耐油规格”来替代,请考虑一下。

  2. ② 将环境温度降低到 80°C 或以下。
  3. ③ 调整惰轮使其旋转。示例:减小惰轮的惯性,增大轴承的尺寸。
返回到问题
Q39 同步带后橡胶磨损
A39

[外观特性]

  • 背面平行于端面形成凹陷,。
  • 背面的标记消失或即将消失。

[推测原因]

  1. ① 外转轴轴对齐不良。
  2. ② 外部惰轮旋转不良。

[对策]

  1. ① 轴的平行度乱了,请调整到正确的位置。
  2. ② 调整惰轮使其旋转。示例:减小惰轮的惯性,增大轴承的尺寸。
返回到问题
Q40 同步带后面的橡胶出现裂纹
A40
外観の特長

[外观特性]

  • 同步带背面与齿轮平行处有一条裂纹。

[推测原因]

  1. ①所用的同步带轮或惰轮的直径太小。
  2. ②环境温度过高或过低。

[对策]

  1. ① 检查同步带轮和惰轮的直径是否合适。如果太小,请更换为直径合适的型号。

    (请参考传动功率表中的同步带轮直径和下表中的惰轮直径。)

    • 内惰轮:齿数至少为下表所示最小齿数的同步带轮。
    • 外惰轮:一个没有轮冠的扁平滑轮,其直径至少 是下表中滑轮节距圆直径的 1.2 倍。

    ■选定惰轮时的最小带轮齿数

    种类 转速(r/min
    900以下 超过900
    1200以下
    超过1200
    1800以下
    超过1800
    3600以下
    P2M 16 16 18 20
    P3M・UP3M 14 14 16 18
    P5M・UP5M 18 20 24 28
    P8M・UP8M 24 26 26 28
    P14M・UP14M 28 28 28 34

    注:对于超过 3600 r/min速度,请参考标准变速器容量表。

    内惰轮

    内惰轮

    外惰轮

    外惰轮

  2. ②将环境温度提高到-15℃至80℃,此时可以使用同步带。
返回到问题
Q41 同步带轮齿轮磨损
A41
外観の特長

[外观特性]

  • 与同步带啮合的部件已经磨损,导致出现无法啮合的台阶。
  • 牙齿粗糙。

[推测原因]

  1. 1)同步带轮材料不合适。
  2. ② 在多尘环境下使用,同步带和皮带轮上会沾染磨蚀性粉尘。
  3. 3)同步带安装张力过高。

[对策]

  1. ① 请换成硬度高的材料,进行齿面硬化或表面处理,提高耐磨损性。
  2. ② 安装保护罩以改善使用环境或防止灰尘附着。
  3. 3)将安装张力调整到合适的水平。
返回到问题
Q42 可测量范围是多少?
A42

同步带BDTM101 的振动频率为 30 至 600 Hz,BDTM201 的振动频率为 10 至 5000 Hz。
如果测量跨度太短或布局太长,振动频率可能超出可测量范围而无法测量。

返回到问题
Q43 我想在购买前使用它,但我可以借它吗?
A43

出租样机。详情请咨询本公司咨询窗口。

返回到问题
Q44 你能帮我校对吗?
A44

是收费的。请向经营本公司商品的销售店咨询。

返回到问题
Q45 校正时间是多少?
A45

校正周期请根据客人的基准和判断来设定。

返回到问题
Q46 材质是什么?
A46

高强度铝材,经白色阳极氧化法。

返回到问题
Q47 是否可以生产目录以外的定制产品?
A47

我们将研究是否可以制作,请附上设计图向本公司经营商品的销售店咨询。

返回到问题