电缆拖链 Q&A
我们已将客户提出的“常见问题”以问答形式发布。请点击问题查看答案。
电缆拖链
Q&A 中的词语。

| Q1 | 电缆拖链塑料系列电缆输送机的电缆和软管存储区域的设计概念(体积比)是什么? | |||||||||||||||||||||||||||||||||||||||||||||||||||||||||||||||||||||||||||||||||||||||||||||||||||||||||||||||||||||||||||||||||||||||||||||||||||||||||||||||||||||||||||||||||||||||
|---|---|---|---|---|---|---|---|---|---|---|---|---|---|---|---|---|---|---|---|---|---|---|---|---|---|---|---|---|---|---|---|---|---|---|---|---|---|---|---|---|---|---|---|---|---|---|---|---|---|---|---|---|---|---|---|---|---|---|---|---|---|---|---|---|---|---|---|---|---|---|---|---|---|---|---|---|---|---|---|---|---|---|---|---|---|---|---|---|---|---|---|---|---|---|---|---|---|---|---|---|---|---|---|---|---|---|---|---|---|---|---|---|---|---|---|---|---|---|---|---|---|---|---|---|---|---|---|---|---|---|---|---|---|---|---|---|---|---|---|---|---|---|---|---|---|---|---|---|---|---|---|---|---|---|---|---|---|---|---|---|---|---|---|---|---|---|---|---|---|---|---|---|---|---|---|---|---|---|---|---|---|---|---|---|
| A1 |
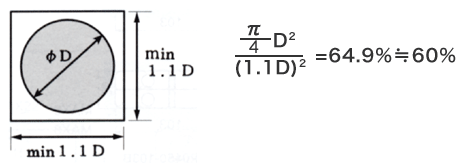
电缆、软管横排设置,带隔板的请安装隔板。电缆、软管的收纳容积率在60%以下,但即使在60%以内,多段重叠的话有可能会发生包覆的早期磨损或断线,所以请避免使用。 TKP型、TKC型、TKMK型、TKMT型、TKR型、TKQ型、TKUA型时电缆收纳部根据电缆软管的外径、根数检查断面的空间来决定。可以安装的隔板可以安装所需数量。 1) 电缆软管的外部直径和内部宽度之间的间距应大于或等于2mm,或大于电缆软管直径的10%。 2) 电缆软管应并排放置。堆叠多层电缆软管可能会磨损或损坏护套。 3) 电缆软管的插入量不得超过内部体积的60%。(请参照下图。) 4) 电缆软管的数量应在不对电缆软管施加过大压力的范围内。 5) 带隔板的请安装隔板。如果可能,请确定分隔板的数量,以便每个孔可以容纳一根电缆。 6)分区数量 7) 隔板采用部分进给。 关于电缆软管收纳容积率60%的想法
关于使用分隔板收纳电缆软管如果多根长度相同的电缆/软管直接堆叠在一起,如下图(1)所示,电线在弯曲 R 处会被挤压(因为长度相同,所以无法外转)。为防止这种现象,可使用下图 (2) 所示的分隔器,并使上部的电缆和软管长于下部的电缆和软管,差值为弯曲半径,这样电缆和软管之间就不会直接摩擦。
|
|||||||||||||||||||||||||||||||||||||||||||||||||||||||||||||||||||||||||||||||||||||||||||||||||||||||||||||||||||||||||||||||||||||||||||||||||||||||||||||||||||||||||||||||||||||||
| Q2 | 电缆拖链塑料系列隔板的安装周期是多少? | |||||||||||||||||||||||||||||||||||||||||||||||||||||||||||||||||||||||||||||||||||||||||||||||||||||||||||||||||||||||||||||||||||||||||||||||||||||||||||||||||||||||||||||||||||||||
| A2 |
每两个链节安装一次。另外,由于结构上可以安装在各连接件上,如果软管等反弹强烈,担心隔板脱落,请安装在各连接件上。 返回到问题 |
|||||||||||||||||||||||||||||||||||||||||||||||||||||||||||||||||||||||||||||||||||||||||||||||||||||||||||||||||||||||||||||||||||||||||||||||||||||||||||||||||||||||||||||||||||||||
| Q3 | 什么是移动行程、自由跨度、盈余长度、弯曲半径和支撑滚轮? | |||||||||||||||||||||||||||||||||||||||||||||||||||||||||||||||||||||||||||||||||||||||||||||||||||||||||||||||||||||||||||||||||||||||||||||||||||||||||||||||||||||||||||||||||||||||
| A3 |
|
|||||||||||||||||||||||||||||||||||||||||||||||||||||||||||||||||||||||||||||||||||||||||||||||||||||||||||||||||||||||||||||||||||||||||||||||||||||||||||||||||||||||||||||||||||||||
| Q4 | 电缆拖链塑料系列采用什么材料制成? | |||||||||||||||||||||||||||||||||||||||||||||||||||||||||||||||||||||||||||||||||||||||||||||||||||||||||||||||||||||||||||||||||||||||||||||||||||||||||||||||||||||||||||||||||||||||
| A4 |
TKP型、TKC型、TKMK型、TKMT型、TKR型均为以聚酰胺树脂为基础的工程塑料。 TKP低摩擦、低磨损规格以聚甲醛树脂为基础。 TKQ型 (旧TKE型) 仅侧边带为聚丙烯。 返回到问题 |
|||||||||||||||||||||||||||||||||||||||||||||||||||||||||||||||||||||||||||||||||||||||||||||||||||||||||||||||||||||||||||||||||||||||||||||||||||||||||||||||||||||||||||||||||||||||
| Q5 | 电缆拖链塑料系列的耐化学性如何? | |||||||||||||||||||||||||||||||||||||||||||||||||||||||||||||||||||||||||||||||||||||||||||||||||||||||||||||||||||||||||||||||||||||||||||||||||||||||||||||||||||||||||||||||||||||||
| A5 |
电缆拖链塑料系列采用工程塑料(工程塑料),具有优异的耐化学腐蚀性。 在选择电缆拖链时,请查看下表,以了解电缆拖链塑料系列中使用的工程塑料的材料是否具有足够的耐各种溶剂的化学性能。
* 工程塑料是指敝公司的电缆拖链 塑料系列产品本体链节所使用的工程塑料材质,以及其耐药品性能。 *电缆拖链塑料系列通常由工程塑料主体和两端的钢制配件组成。 返回到问题 |
|||||||||||||||||||||||||||||||||||||||||||||||||||||||||||||||||||||||||||||||||||||||||||||||||||||||||||||||||||||||||||||||||||||||||||||||||||||||||||||||||||||||||||||||||||||||
| Q6 | 电缆拖链塑料系列的阻燃性能如何? | |||||||||||||||||||||||||||||||||||||||||||||||||||||||||||||||||||||||||||||||||||||||||||||||||||||||||||||||||||||||||||||||||||||||||||||||||||||||||||||||||||||||||||||||||||||||
| A6 |
我们的电缆拖链塑料系列(TKP、TKR、TKUA、TKC、TKMK、TKMT*)的阻燃性能符合UL标准(美国保险商实验室标准),该标准是对塑料制品阻燃安全性的测试,所用塑料材料符合UL94HB标准。我们也可以生产符合UL94V-0阻燃规格的产品,详情请联系我们。*部分尺寸除外。 返回到问题 |
|||||||||||||||||||||||||||||||||||||||||||||||||||||||||||||||||||||||||||||||||||||||||||||||||||||||||||||||||||||||||||||||||||||||||||||||||||||||||||||||||||||||||||||||||||||||
| Q7 | 电缆拖链可以在户外使用吗? | |||||||||||||||||||||||||||||||||||||||||||||||||||||||||||||||||||||||||||||||||||||||||||||||||||||||||||||||||||||||||||||||||||||||||||||||||||||||||||||||||||||||||||||||||||||||
| A7 |
它通常建议在室内使用,但也曾用于室外。 |
|||||||||||||||||||||||||||||||||||||||||||||||||||||||||||||||||||||||||||||||||||||||||||||||||||||||||||||||||||||||||||||||||||||||||||||||||||||||||||||||||||||||||||||||||||||||
| Q8 | 活动端支架能否用于固定端金具端,反之亦然? | |||||||||||||||||||||||||||||||||||||||||||||||||||||||||||||||||||||||||||||||||||||||||||||||||||||||||||||||||||||||||||||||||||||||||||||||||||||||||||||||||||||||||||||||||||||||
| A8 |
按规定将活动端支架连接到活动端,将固定端金具连接到固定端。 但是,即使未明确指定,也可以使用TKP91H80、TKMK和TKH250。(异形产品和长跨距规格产品不适用。) 返回到问题 |
|||||||||||||||||||||||||||||||||||||||||||||||||||||||||||||||||||||||||||||||||||||||||||||||||||||||||||||||||||||||||||||||||||||||||||||||||||||||||||||||||||||||||||||||||||||||
| Q9 | 有没有适合洁净室使用的电缆拖链? | |||||||||||||||||||||||||||||||||||||||||||||||||||||||||||||||||||||||||||||||||||||||||||||||||||||||||||||||||||||||||||||||||||||||||||||||||||||||||||||||||||||||||||||||||||||||
| A9 |
椿本公司推出FLATVEYOR一系列低粉尘的电缆系统,包括:适用于大批量生产设备的自立式扁平电缆系统“ CLEANVEYOR”;便于后期更换或安装电缆的“ FLATVEYOR ZP”规格;以及因弯曲变形而粉尘和噪音极低的“TKR”型电缆。此外,还有用途最广泛的TKP型电缆——TKP-MW规格,它采用高滑动性工程塑料材料,有助于提高电缆的保护性和清洁度。 返回到问题 |
|||||||||||||||||||||||||||||||||||||||||||||||||||||||||||||||||||||||||||||||||||||||||||||||||||||||||||||||||||||||||||||||||||||||||||||||||||||||||||||||||||||||||||||||||||||||
| Q10 | 我可以购买电缆拖链配件,例如插销吗? | |||||||||||||||||||||||||||||||||||||||||||||||||||||||||||||||||||||||||||||||||||||||||||||||||||||||||||||||||||||||||||||||||||||||||||||||||||||||||||||||||||||||||||||||||||||||
| A10 |
TKP和TKC臂,TK型销钉/固定环等许多部分可以部分购买。 |
|||||||||||||||||||||||||||||||||||||||||||||||||||||||||||||||||||||||||||||||||||||||||||||||||||||||||||||||||||||||||||||||||||||||||||||||||||||||||||||||||||||||||||||||||||||||
| Q11 | 请告诉我TKP0450旧型号和TKP45H25的区别。 | |||||||||||||||||||||||||||||||||||||||||||||||||||||||||||||||||||||||||||||||||||||||||||||||||||||||||||||||||||||||||||||||||||||||||||||||||||||||||||||||||||||||||||||||||||||||
| A11 |
TKP0450旧型号有旧型号和新型号。TKP0450旧款已于2002年9月末停止销售。
TKP0450新型号 (当前型号TKP45H25) 特点功能和性能比较关于TKP0450新型号 (当前型号TKP45H25) 的兼容性从旧型号到新型号 (当前型号TKP45H25) 过渡的注意事项 1.旧款 (开关型) ⇒新款 (现行型号TKP45H25) 本体、金属配件的兼容性请参照下面的比较表。 更换时请注意以下几点。
2.旧款 (一体型) ⇒新款 (现行型号TKP45H25) 本体、金属配件的兼容性请参照下面的比较表。 新旧尺寸的差异 部分型号的尺寸略有不同。W58、W78、W103的外宽比现行产品大4mm,更换时请注意。 3.新旧模型尺寸比较表
◎兼容(内尺寸互换性为旧规格以上的尺寸,外尺寸互换性为旧规格以下的尺寸) 〇有兼容性也需要注意(尺寸基本相同,但外部尺寸稍大,请注意不要与周边装置发生干涉。) △由于尺寸差异较大,安装时请注意不要与外围设备发生干扰。 否不兼容 |
|||||||||||||||||||||||||||||||||||||||||||||||||||||||||||||||||||||||||||||||||||||||||||||||||||||||||||||||||||||||||||||||||||||||||||||||||||||||||||||||||||||||||||||||||||||||
| Q12 | 电缆拖链是否符合RoHS指令? | |||||||||||||||||||||||||||||||||||||||||||||||||||||||||||||||||||||||||||||||||||||||||||||||||||||||||||||||||||||||||||||||||||||||||||||||||||||||||||||||||||||||||||||||||||||||
| A12 |
我们所有的电缆拖链(部分配件除外)均符合 RoHS 指令。 返回到问题 |
|||||||||||||||||||||||||||||||||||||||||||||||||||||||||||||||||||||||||||||||||||||||||||||||||||||||||||||||||||||||||||||||||||||||||||||||||||||||||||||||||||||||||||||||||||||||
| Q13 | 到目前为止,规格有哪些变化? | |||||||||||||||||||||||||||||||||||||||||||||||||||||||||||||||||||||||||||||||||||||||||||||||||||||||||||||||||||||||||||||||||||||||||||||||||||||||||||||||||||||||||||||||||||||||
| A13 |
■规格变更品列表
※根据1时的时期,有可能是旧规格产品。
※根据1时的时期,有可能是旧规格产品。
※根据1时的时期,有可能是旧规格产品。
※根据1时的时期,有可能是旧规格产品。 返回到问题 |
|||||||||||||||||||||||||||||||||||||||||||||||||||||||||||||||||||||||||||||||||||||||||||||||||||||||||||||||||||||||||||||||||||||||||||||||||||||||||||||||||||||||||||||||||||||||
| Q14 | 如何销售未在目录中列出的TKP0320、TKP0625和TKP0625H? | |||||||||||||||||||||||||||||||||||||||||||||||||||||||||||||||||||||||||||||||||||||||||||||||||||||||||||||||||||||||||||||||||||||||||||||||||||||||||||||||||||||||||||||||||||||||
| A14 |
2015年度结束销售。 返回到问题 |
|||||||||||||||||||||||||||||||||||||||||||||||||||||||||||||||||||||||||||||||||||||||||||||||||||||||||||||||||||||||||||||||||||||||||||||||||||||||||||||||||||||||||||||||||||||||
| Q15 | 电缆拖链可以剪断或拼接吗? | |||||||||||||||||||||||||||||||||||||||||||||||||||||||||||||||||||||||||||||||||||||||||||||||||||||||||||||||||||||||||||||||||||||||||||||||||||||||||||||||||||||||||||||||||||||||
| A15 |
所有电缆拖链塑料系列都可以用一字螺丝刀和塑料锤进行切割和拼接。 详情请参阅使用使用说明书。 返回到问题 |
|||||||||||||||||||||||||||||||||||||||||||||||||||||||||||||||||||||||||||||||||||||||||||||||||||||||||||||||||||||||||||||||||||||||||||||||||||||||||||||||||||||||||||||||||||||||
| Q16 | 安装高度(H')和总高度(H)有什么区别? | |||||||||||||||||||||||||||||||||||||||||||||||||||||||||||||||||||||||||||||||||||||||||||||||||||||||||||||||||||||||||||||||||||||||||||||||||||||||||||||||||||||||||||||||||||||||
| A16 |
电缆拖链略微凸起,以补偿主体和电缆重量造成的挠曲,因此请将其安装在安装高度 H' 而不是电缆拖链的总高度 H 上。 |
|||||||||||||||||||||||||||||||||||||||||||||||||||||||||||||||||||||||||||||||||||||||||||||||||||||||||||||||||||||||||||||||||||||||||||||||||||||||||||||||||||||||||||||||||||||||
| Q17 | 安装总高度而不是安装高度会产生什么影响? | |||||||||||||||||||||||||||||||||||||||||||||||||||||||||||||||||||||||||||||||||||||||||||||||||||||||||||||||||||||||||||||||||||||||||||||||||||||||||||||||||||||||||||||||||||||||
| A17 |
强行按压膨胀使其运转的话,移动端附近会施加不合理的力。 |
|||||||||||||||||||||||||||||||||||||||||||||||||||||||||||||||||||||||||||||||||||||||||||||||||||||||||||||||||||||||||||||||||||||||||||||||||||||||||||||||||||||||||||||||||||||||
| Q18 | 什么是空间要求? | |||||||||||||||||||||||||||||||||||||||||||||||||||||||||||||||||||||||||||||||||||||||||||||||||||||||||||||||||||||||||||||||||||||||||||||||||||||||||||||||||||||||||||||||||||||||
| A18 |
根据使用条件和氛围,自由跨度部分会产生膨胀或弯曲。请确保必要的空间。(所需空间因型号而异) |
|||||||||||||||||||||||||||||||||||||||||||||||||||||||||||||||||||||||||||||||||||||||||||||||||||||||||||||||||||||||||||||||||||||||||||||||||||||||||||||||||||||||||||||||||||||||
| Q19 | 使用长跨距规格时应注意什么? | |||||||||||||||||||||||||||||||||||||||||||||||||||||||||||||||||||||||||||||||||||||||||||||||||||||||||||||||||||||||||||||||||||||||||||||||||||||||||||||||||||||||||||||||||||||||
| A19 |
详情请参阅技术资料“电缆拖链操作 - 章节:安装长跨距导轨时的注意事项”。 返回到问题 |
|||||||||||||||||||||||||||||||||||||||||||||||||||||||||||||||||||||||||||||||||||||||||||||||||||||||||||||||||||||||||||||||||||||||||||||||||||||||||||||||||||||||||||||||||||||||
| Q20 | 如果我同时订购电缆拖链主体和配件(安装支架、隔板等),电缆托架将采用哪种包装形式? | |||||||||||||||||||||||||||||||||||||||||||||||||||||||||||||||||||||||||||||||||||||||||||||||||||||||||||||||||||||||||||||||||||||||||||||||||||||||||||||||||||||||||||||||||||||||
| A20 |
将本体和移动端、固定端、分隔板等附属零部件作为一套包装、发货到同一个箱子。 订单示例 TKP45H25-30W38R50+20L-FOA-MOA x 6H (20L +固定端金具FOA + 活动端支架 MOA x 6) TKP45H25-ST×60K (纵向分隔板60个)
|
|||||||||||||||||||||||||||||||||||||||||||||||||||||||||||||||||||||||||||||||||||||||||||||||||||||||||||||||||||||||||||||||||||||||||||||||||||||||||||||||||||||||||||||||||||||||
| Q21 | CLEANVEYOR和FLATVEYOR可以用于多个阶段吗? | |||||||||||||||||||||||||||||||||||||||||||||||||||||||||||||||||||||||||||||||||||||||||||||||||||||||||||||||||||||||||||||||||||||||||||||||||||||||||||||||||||||||||||||||||||||||
| A21 |
CLEANVEYOR最多可堆叠六层。不建议堆叠FLATVEYOR,因为产品可能会相互滑动,导致产生粉尘。 返回到问题 |
|||||||||||||||||||||||||||||||||||||||||||||||||||||||||||||||||||||||||||||||||||||||||||||||||||||||||||||||||||||||||||||||||||||||||||||||||||||||||||||||||||||||||||||||||||||||
| Q22 | FLATVEYOR ZP规范能否在多个阶段中使用? | |||||||||||||||||||||||||||||||||||||||||||||||||||||||||||||||||||||||||||||||||||||||||||||||||||||||||||||||||||||||||||||||||||||||||||||||||||||||||||||||||||||||||||||||||||||||
| A22 |
根据条件可以。但是,由于商品之间滑动,会诱发灰尘,因此不推荐在清洁环境下使用。 返回到问题 |
|||||||||||||||||||||||||||||||||||||||||||||||||||||||||||||||||||||||||||||||||||||||||||||||||||||||||||||||||||||||||||||||||||||||||||||||||||||||||||||||||||||||||||||||||||||||
| Q23 | 我可以在FLATVEYOR上使用FLATVEYOR ZP 规格的支架吗? | |||||||||||||||||||||||||||||||||||||||||||||||||||||||||||||||||||||||||||||||||||||||||||||||||||||||||||||||||||||||||||||||||||||||||||||||||||||||||||||||||||||||||||||||||||||||
| A23 |
是的,可以。可以使用L型块来安装FLATVEYOR托架。 返回到问题 |
|||||||||||||||||||||||||||||||||||||||||||||||||||||||||||||||||||||||||||||||||||||||||||||||||||||||||||||||||||||||||||||||||||||||||||||||||||||||||||||||||||||||||||||||||||||||
| Q24 | 是否可以将其安装得比产品目录或报价图纸中规定的安装高度 (H') 更低? | |||||||||||||||||||||||||||||||||||||||||||||||||||||||||||||||||||||||||||||||||||||||||||||||||||||||||||||||||||||||||||||||||||||||||||||||||||||||||||||||||||||||||||||||||||||||
| A24 |
请在本公司推荐的安装高度内安装。如果安装高度低于本公司推荐的安装高度,会抑制膨胀,有可能提前断裂。 返回到问题 |
|||||||||||||||||||||||||||||||||||||||||||||||||||||||||||||||||||||||||||||||||||||||||||||||||||||||||||||||||||||||||||||||||||||||||||||||||||||||||||||||||||||||||||||||||||||||
| Q25 | 我无法确保获得符合FLATVEYOR ZP 规格所需的空间(宽度)(高度)。我可以使用它吗? | |||||||||||||||||||||||||||||||||||||||||||||||||||||||||||||||||||||||||||||||||||||||||||||||||||||||||||||||||||||||||||||||||||||||||||||||||||||||||||||||||||||||||||||||||||||||
| A25 |
也有可以使用的情况,请咨询。另外,所需空间 (宽度) (高度) 在设定时考虑了以下因素。【所需空间 (宽度) 】 有时由于开闭管道的变形,弯曲部会向宽度方向扩展。(每根开闭管约5mm) 【所需空间 (高度) 】 由于电缆、管的反弹力等原因,弯曲部有可能高于设置高度。 返回到问题 |
|||||||||||||||||||||||||||||||||||||||||||||||||||||||||||||||||||||||||||||||||||||||||||||||||||||||||||||||||||||||||||||||||||||||||||||||||||||||||||||||||||||||||||||||||||||||
| Q26 | 如何申请CLEANVEYOR筛选? | |||||||||||||||||||||||||||||||||||||||||||||||||||||||||||||||||||||||||||||||||||||||||||||||||||||||||||||||||||||||||||||||||||||||||||||||||||||||||||||||||||||||||||||||||||||||
| A26 |
请在选定委托表上填写使用条件后,向敝公司咨询。 返回到问题 |
|||||||||||||||||||||||||||||||||||||||||||||||||||||||||||||||||||||||||||||||||||||||||||||||||||||||||||||||||||||||||||||||||||||||||||||||||||||||||||||||||||||||||||||||||||||||
| Q27 | 关于FLATVEYOR ZP 规格,能否通过增加支撑构件的数量来增加支撑材料的数量或延长移动行程? | |||||||||||||||||||||||||||||||||||||||||||||||||||||||||||||||||||||||||||||||||||||||||||||||||||||||||||||||||||||||||||||||||||||||||||||||||||||||||||||||||||||||||||||||||||||||
| A27 |
新使用时,根据支承物质量和加速度等使用条件,有时可以超过目录值增加支承物、延长行程。详细内容请在选择委托表上填写使用条件后,向敝公司咨询。 返回到问题 |
|||||||||||||||||||||||||||||||||||||||||||||||||||||||||||||||||||||||||||||||||||||||||||||||||||||||||||||||||||||||||||||||||||||||||||||||||||||||||||||||||||||||||||||||||||||||
| Q28 | 如果多个支撑件存放在FLATVEYOR ZP 规格的开/闭管中,支撑件会相互滑动还是磨损粉? | |||||||||||||||||||||||||||||||||||||||||||||||||||||||||||||||||||||||||||||||||||||||||||||||||||||||||||||||||||||||||||||||||||||||||||||||||||||||||||||||||||||||||||||||||||||||
| A28 |
虽然滑动现象确实存在,但我们内部进行了类似的测试,并未发现因滑动造成的损坏。Flatveyor ZP FLATVEYOR建议每个开/关管存放一根电缆或管子,但考虑到便利性和实际使用情况,也制定了存放多根管子的标准。详情请参阅 Clean 系列产品目录第 10 页。 返回到问题 |
|||||||||||||||||||||||||||||||||||||||||||||||||||||||||||||||||||||||||||||||||||||||||||||||||||||||||||||||||||||||||||||||||||||||||||||||||||||||||||||||||||||||||||||||||||||||
| Q29 | FLATVEYOR ZP 的支架可以进行阳极氧化或其他表面处理吗? | |||||||||||||||||||||||||||||||||||||||||||||||||||||||||||||||||||||||||||||||||||||||||||||||||||||||||||||||||||||||||||||||||||||||||||||||||||||||||||||||||||||||||||||||||||||||
| A29 |
是的,可以。另外,金属板和金属板固定螺栓为不锈钢制,仅L型块可用于阳极氧化铝等特殊表面处理。也有一部分无法处理的表面处理,请咨询。 返回到问题 |
|||||||||||||||||||||||||||||||||||||||||||||||||||||||||||||||||||||||||||||||||||||||||||||||||||||||||||||||||||||||||||||||||||||||||||||||||||||||||||||||||||||||||||||||||||||||
| Q30 | 关于FLATVEYOR ZP 的规格,如果预先安装一个备用的开合管,以便将来添加支撑,那么这个备用开合管可以空着使用吗? | |||||||||||||||||||||||||||||||||||||||||||||||||||||||||||||||||||||||||||||||||||||||||||||||||||||||||||||||||||||||||||||||||||||||||||||||||||||||||||||||||||||||||||||||||||||||
| A30 |
只要按照效率曲线图所示的条件使用,就不会有问题。 返回到问题 |
|||||||||||||||||||||||||||||||||||||||||||||||||||||||||||||||||||||||||||||||||||||||||||||||||||||||||||||||||||||||||||||||||||||||||||||||||||||||||||||||||||||||||||||||||||||||
| Q31 | 是否可以申请安装CLEANVEYOR和FLATVEYOR的电缆和管道连接器? | |||||||||||||||||||||||||||||||||||||||||||||||||||||||||||||||||||||||||||||||||||||||||||||||||||||||||||||||||||||||||||||||||||||||||||||||||||||||||||||||||||||||||||||||||||||||
| A31 |
是的。请在提交询价表时附上线束图。即使您提供的电缆两端都带有连接器,也无法安装在CLEANVEYOR上。 返回到问题 |
|||||||||||||||||||||||||||||||||||||||||||||||||||||||||||||||||||||||||||||||||||||||||||||||||||||||||||||||||||||||||||||||||||||||||||||||||||||||||||||||||||||||||||||||||||||||
